金榜书城
公司网站
学问百事通
用户名:
密码:
新用户注册
忘记密码
账号激活
欢迎你,
上传资源
会员中心
退出登录
·
设为首页
·
加入收藏
学科
语文
数学
英语
物理
化学
生物
政治
历史
地理
文综
理综
跨科
资源
试卷
课件
教案
学案
试题
素材
竞赛
套卷
专栏
名师博客
文章中心
一轮复习
高考在线
网站公告
金榜特供
备课中心
二轮复习
美文欣赏
免费试卷
您的位置:
教学资源网
>>
试卷
>>
数学试卷
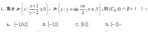
河北省唐山一中2011届高三上学期期中考试(数学文)
下载扣金币方式
需消耗
6
金币
立即下载
3
个贡献点
立即下载
3
个黄金点
立即下载
VIP下载通道>>>
如何获取金币<<
提示:本自然月内重复下载不再扣除金币
资源类别
试卷
资源子类
期中期末
教材版本
人教A版(现行教材)
所属学科
高中数学
适用年级
高三年级
适用地区
大纲地区
文件大小
190
K
上传用户
Stephen
更新时间
2010/11/8 14:18:11
下载统计
今日
0
总计
14
评论
(
0
)
发表评论
报错(
0
)
我要报错
收藏
1
0
资源简介
相关资源
高级搜索
·
Ⅲ方法篇新质多想少算,深研解题快捷满分
2025/12/25 20:14:17
·
Ⅱ思想篇领悟解题思想,深入思维进阶高分
2025/12/25 20:14:06
·
Ⅰ趋势篇读懂高考命题,深度研析赋能加分
2025/12/25 20:13:54
·
图书配套课件26B77-HN
2025/12/25 20:13:16
·
数学二轮提升图书配套课件
2025/12/25 18:37:00
用户评论
查看该资源所有评论
暂时没有相关评论
最新套卷
·
福建省泉州市2023-2024学年高二上学期期末教学质量监测试题(PDF)
·
福建省厦门市2023-2024学年高一上学期期末考试试题(PDF)
·
广东省2024届高三上学期开学阶段性质量检测(PDF)
·
北京市海淀区2024届高三下学期期中一模试题(PDF)
·
重庆市2023-2024学年高二下学期5月联考试题(pdf)
精品专题
最新上传
·
图书Word版文档26E77-BDX
·
专题一 微专题3 离子反应与氧化还原反应
·
专题一 微专题2 阿伏加德罗常数的应用
·
专题一 微专题1 化学与传统文化、STSE、化学用语
·
图书配套课件26E77-BDX
推荐资源
·
重庆市2025-2026学年高二上学期入学考试试题(英语 解析版)
·
浙江省嘉兴市2025-2026学年高三上学期9月月考试题(英语 解析版)
·
浙江省2026届高三上学期第一次联考试卷(英语 含答案)
·
湖北省武昌区2024-2025学年高二下学期期末考试(历史 解析版)
·
河南省信阳市商城县2024-2025学年高一下学期期末考试(历史 解析版)
请先登录网站
关闭
用户名
密 码
忘记密码
新用户注册