金榜书城
公司网站
学问百事通
用户名:
密码:
新用户注册
忘记密码
账号激活
欢迎你,
上传资源
会员中心
退出登录
·
设为首页
·
加入收藏
学科
语文
数学
英语
物理
化学
生物
政治
历史
地理
文综
理综
跨科
资源
试卷
课件
教案
学案
试题
素材
竞赛
套卷
专栏
名师博客
文章中心
一轮复习
高考在线
网站公告
金榜特供
备课中心
二轮复习
美文欣赏
免费试卷
您的位置:
教学资源网
>>
试题
>>
数学试题
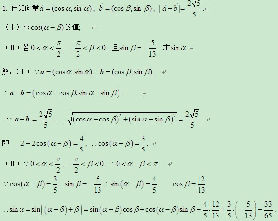
江苏省2012届高三数学二轮专题训练:解答题(26)
下载扣金币方式
需消耗
2
金币
立即下载
1
个贡献点
立即下载
1
个黄金点
立即下载
VIP下载通道>>>
如何获取金币<<
提示:本自然月内重复下载不再扣除金币
资源类别
试题
资源子类
二轮复习
教材版本
苏教版(现行教材)
所属学科
高中数学
适用年级
高三年级
适用地区
全国通用
文件大小
427
K
上传用户
stephen
更新时间
2012/3/13 10:20:37
下载统计
今日
0
总计
3
评论
(
0
)
发表评论
报错(
0
)
我要报错
收藏
1
0
资源简介
相关资源
高级搜索
·
探究导学课件
2025/10/18 10:32:23
·
多媒体教学优质课件
2025/10/18 10:31:19
·
03 6.2.1 向量的加法运算
2025/10/18 10:31:15
·
02 6.1 平面向量的概念
2025/10/18 10:31:01
·
02 6.1 平面向量的概念
2025/10/18 10:30:56
用户评论
查看该资源所有评论
暂时没有相关评论
最新套卷
·
福建省泉州市2023-2024学年高二上学期期末教学质量监测试题(PDF)
·
福建省厦门市2023-2024学年高一上学期期末考试试题(PDF)
·
广东省2024届高三上学期开学阶段性质量检测(PDF)
·
北京市海淀区2024届高三下学期期中一模试题(PDF)
·
重庆市2023-2024学年高二下学期5月联考试题(pdf)
精品专题
最新上传
·
【新人教版】2025学年高中第4章化学反应与电能章末复习课课件选择性必修1(化学)
·
【新人教版】2025学年高中第4章化学反应与电能微专题5电化学中的多池串联及计算课件选择性必修1(化学)
·
【新人教版】2025学年高中第4章化学反应与电能教考衔接5电解池中离子交换膜及应用课件选择性必修1(化学)
·
【新人教版】2025学年高中第4章化学反应与电能教考衔接4燃料电池模型及应用课件选择性必修1(化学)
·
【新人教版】2025学年高中第4章化学反应与电能第一节原电池第2课时化学电源课件选择性必修1(化学)
推荐资源
·
湖北省武昌区2024-2025学年高二下学期期末考试(历史 解析版)
·
河南省信阳市商城县2024-2025学年高一下学期期末考试(历史 解析版)
·
河南省南阳市2024-2025学年高二下学期期末考试(历史 解析版)
·
重庆市2024-2025学年高二上学期12月月考试题(英语 解析版)
·
重庆市2024-2025学年高二上学期12月联考试题(英语 解析版)
请先登录网站
关闭
用户名
密 码
忘记密码
新用户注册